
<a href="http://www.shutterstock.com/pic-378131164/stock-photo-fracking-rig-in-a-colorado-field.html?src=csl_recent_image-1">Lonny Garris</a>/Shutterstock
What if President Barack Obama’s biggest achievement on climate change was actually a total failure?
That’s the central argument of a recent story in the Nation by Bill McKibben, a journalist and environmental activist. “If you get the chemistry wrong,” McKibben writes, “it doesn’t matter how many landmark climate agreements you sign or how many speeches you give. And it appears the United States may have gotten the chemistry wrong. Really wrong.”
McKibben’s criticism is all about fracking, the controversial oil and gas drilling technique that involves blasting underground shale formations with high-pressure water, sand, and chemicals. (He made a similar case here in Mother Jones in September 2014.) Over the last decade, we’ve witnessed much-celebrated strides in solar and other renewable sources of electricity. But by far the most significant change in America’s energy landscape has been a major shift from coal to natural gas. The trend was already underway when Obama took office, but it reached a tipping point during his administration. In March, federal energy analysts reported that 2016 will be the first year in history in which natural gas provides a greater share of American electricity than coal does:
Across the country, many coal-fired power plants are being refitted to burn natural gas, or closing entirely and being replaced by new natural gas plants. This transformation is being driven in part by simple economics: America’s fracking boom has led to a glut of low-cost natural gas that is increasingly able to undersell coal. It’s also driven by regulation: In its campaign to address climate change, the Obama administration has focused mostly on reducing emissions of carbon dioxide, the most prominent greenhouse gas. Coal-fired power plants are the country’s No. 1 source of CO2 emissions. When natural gas is burned, it emits about half as much CO2 per unit of energy. So gas, in the administration’s view, can serve as a “bridge” to a cleaner future by allowing for deep cuts in coal consumption while renewables catch up.
So far, that appears to be working. A federal analysis released this week shows that energy-related CO2 emissions (which includes electricity, transportation, and gas used in buildings) are at their lowest point in a decade, largely “because of the decreased use of coal and the increased use of natural gas for electricity generation”:
But for many environmentalists, including McKibben and 350.org—the organization he co-founded—Obama’s “bridge” theory is bunk. That’s because it ignores methane, another potent greenhouse gas that is the main component of natural gas. When unburned methane leaks into the atmosphere, it can help cause dramatic warming in a relatively short period of time. Methane emissions have long been a missing piece in the country’s patchwork climate policy; this week the Obama administration is expected to roll out the first regulations intended to address the problem. But the new regulations will apply only to new infrastructure, not the sprawling gas network that already exists. So is fracking really just a bridge to nowhere?
What is methane, anyway?
For Obama’s bridge strategy to succeed, it would need to result in greenhouse gas emissions that are in line with the global warming limit enshrined in the Paris Agreement: “well below” 2 degrees Celsius (3.6 degrees Fahrenheit) above pre-industrial levels. So let’s start with the gas itself.
According to the Environmental Protection Agency, methane accounted for about 11.5 percent of US greenhouse gas emissions in 2014 (the rest was mostly CO2, plus a little bit of nitrous oxide and hydrofluorocarbons). Roughly one-fifth of that methane came from natural gas systems (the No. 3 source after landfill emissions and cow farts and burps). Even with the fracking boom, methane emissions from natural gas have held at about the same level for the last five years, and they are actually down considerably from a decade ago (assuming you trust the EPA stats; more on that later). By volume, they’re at about the same level as CO2 emissions from jet fuel—in other words, a significant source, but an order of magnitude less than CO2 from power plants or cars.
But the tricky thing about greenhouse gases is that volume isn’t necessarily the main concern. Because of their molecular shape, different gases are more or less effective at trapping heat. To compare gases, scientists use a metric called “global warming potential,” which measures how much heat a certain volume of a gas traps over a given stretch of time, typically 100 years. There’s considerable debate among scientists about how the global warming potential of methane compares with that of CO2. The EPA says methane is 25 times as potent as CO2 over 100 years. McKibben cites a Cornell University researcher who says a more relevant figure for methane “is between 86 and 105 times the potency of CO2 over the next decade or two.”
It’s hard to make an apples-to-apples comparison because the two gases have different life spans. CO2 can last in the atmosphere for thousands of years, whereas methane lasts only for a couple of decades (after which it degrades into CO2). Global warming potential is also an imperfect comparison metric because it leaves out other kinds of impacts besides trapping heat, said Drew Shindell, a climatologist at Duke University. Atmospheric methane also creates ozone, for example, which is dangerous for the health of plants and humans. By Shindell’s reckoning, including all their impacts, each ton of methane kept out of the atmosphere is equal to 100 tons of prevented CO2 in the near term, and 40 tons of CO2 in the long term.
The timescale is key, said Johan Kuylenstierna, policy director of the Stockholm Environment Institute. Methane has a more immediate effect on global temperature, he explained, so over the next decade or two, reducing methane emissions could be a way to stave off the immediate impacts of global warming.
“If we reduce the rate of near-term warming, we can reduce the impact to habitat shifts in species,” Kuylenstierna said. “We can buy time for vulnerable communities to adapt. We can reduce the rate of glaciers’ melting in the Arctic.”
But in terms of limiting permanent, long-term damage to the climate, and achieving the goals of the Paris Agreement, “the only way to do that is to address CO2,” he said.
That was the key finding of a 2014 study by University of Chicago geophysicist Ray Pierrehumbert, which concluded that “there is little to be gained by implementing [methane and other short-lived climate pollutant] mitigation before stringent carbon dioxide controls are in place.” Pierrehumbert and his colleagues repeated that conclusion in a new study this month, finding that by mid-century, if CO2 emissions aren’t under control, the short-term warming caused by methane will be irrelevant. In other words, at the end of the day, CO2 is still enemy No. 1.
With that said, there’s widespread agreement among scientists that ultimately, the only solution to climate change is to stop emitting all greenhouse gases. So at a certain point, the methane versus CO2 debate becomes less scientific and more of a value judgment: How much short-term climate damage are we willing to tolerate in exchange for reducing the emissions that are more damaging over the long term?
Meanwhile, there’s another problem. Debating the relative dangers of methane versus CO2 is of limited value unless you know how much methane the natural gas industry is really emitting. And figuring that out is harder than it sounds.
Measuring the methane
The natural gas system produces methane emissions at nearly every step of the process, from the well itself to the pipe that carries gas into your home. Around two-thirds of those emissions are “intentional,” meaning they occur during normal use of equipment. For example, some pneumatic gauges use the pressure of natural gas to flip on or off and emit tiny puffs of methane when they do so. The other one-third comes from so-called “fugitive” emissions, a.k.a. leaks, that happen when a piece of equipment cracks or otherwise fails.
Since natural gas companies aren’t legally obligated to measure and report their methane emissions, scientists and the EPA have to make a lot of educated guesses to come up with a total. The inadequacies of the EPA’s official measurements were made clear in February, when the agency released estimates for methane from the oil and gas industry that were radically higher—about 27 percent higher—than had been previously reported. That difference, according to the Environmental Defense Fund, represents a 20-year climate impact equal to 200 coal-fired power plants. The revision resulted from improved metrics showing how much natural gas infrastructure there really is and how much methane is being emitted from each piece of it. The EPA had been systematically low-balling both of those figures for years.
Other evidence has piled up to suggest that methane emissions are higher than the EPA previously estimated. EDF surveyed more than a dozen peer-reviewed studies of methane emissions from specific fracking sites in Texas, Colorado, and elsewhere; almost all of these studies found that emissions levels were higher than had been previously reported. McKibben leads his story with a new study from Harvard that concluded that methane emissions have increased more than 30 percent over the last decade. That’s a big departure from the EPA’s analysis, which suggests there was no significant increase over that time period.
However, the Harvard paper includes a major caveat: The authors admit they “cannot readily attribute [the methane increase] to any specific source type.” In other words, there’s no evidence the increase is from fracking any more than from agricultural or waste sources. Either way, it’s clear that methane emissions from the gas system are higher than most people thought, and certainly higher than they should be if fighting climate change is the end goal. Even EPA chief Gina McCarthy admitted in February that there was “a big discrepancy” between the administration’s original understanding of gas-related methane emissions and what new studies are revealing.
It turns out that measuring methane leakage from gas systems, whether intentional or accidental, is difficult and often inexact. Hand-held infrared detectors work for doing spot checks, but they’re labor-intensive and not very useful if the leak is in an underground pipe. Aerial surveys give a better picture of overall emissions but, again, can’t easily locate specific leaks, as illustrated in this graphic from MIT.
The good news is that increased public concern about methane has pushed the gas industry to adopt better emission detection methods, said Ramon Alvarez, a senior scientist at the EDF. These include drive-by detectors that are more precise and better calibrated to account for weather conditions that make it hard to pinpoint emissions sources (i.e., wind blowing methane away from where it originated).
“The methods are improving,” he said. “Some of these mobile surveys with new instruments are on the cusp of becoming accepted practice, and regulators are considering requiring those things.”
So can we fix the leaks?
A key difference between CO2 emissions from coal plants and methane emissions from the gas system is that the latter are much easier to reduce. In other words, many of the leaks can be fixed fairly easily and cost-effectively. That’s a crucial advantage over coal: Capturing CO2 emissions from coal plants has proved to be massively expensive and not very effective. There are no operational “carbon capture and sequestration” coal plants in the United States; one of the two under construction is billions of dollars over budget before even being switched on.
A 2014 study commissioned by EDF found that using existing technology, systemwide methane emissions could be reduced by 40 percent at a cost to industry of less than a penny per thousand cubic feet (Mcf) of natural gas. (A typical new fracked shale gas well produces about 2,700 Mcf of gas per day.) Some repairs are easier than others. McKibben warns about the difficulty of fixing cement casings on wells themselves. Pipelines, too, are vexing. According to the EPA, there are about 21 miles of plastic gas pipelines in the United States for every mile of old cast iron pipes. But cast iron pipes leak so much—24 times the emissions of plastic pipes—that their cumulative emissions are actually higher than those of plastic pipes. Replacing cast iron with plastic is a no-brainer technologically, but it’s very expensive and slow.
But wells account for only about 5 percent of gas system methane emissions; pipelines account for only 2 percent. Other sources could be much easier to control. The single biggest source, leaks from compressors, can be greatly reduced simply by replacing a few functional parts more frequently than the current industry standard. The second-biggest source, leaks from pneumatic gauges, can be fixed by running them on electricity—possibly from a few small, well-placed solar panels—instead of gas pressure.
Altogether, including the value of saved gas that would otherwise leak, the 40 percent reduction projected by EDF would save the industry and gas consumers $100 million per year, the study found—not even counting the climate benefits.
So why aren’t gas companies pursuing these measures more aggressively? Hemant Mallya, an oil and gas specialist with the market research firm ICF International, who authored the EDF report, pointed to a number of factors. Costs for various fixes can vary widely between sites. There may be efforts by companies that own gas infrastructure to shift the responsibility to different companies that operate and maintain it, or vice versa. Even the most cost-effective measures require up-front investment, which could be too high a bar for companies with competing financial needs. But perhaps most importantly, because methane emissions aren’t currently regulated, companies simply don’t have to do anything about them. Why spend money fixing a problem you aren’t required to fix?
“Any voluntary measure capital needs will receive lower priority compared to projects necessary to drive the business,” Mallya said.
That calculus could change soon: This week, the EPA is expected to finalize regulations on methane emissions that aim to reduce leaks from new gas infrastructure 40 to 45 percent by 2025. The new rules are only a tiny piece of the full solution since, by EDF’s reckoning, more than 70 percent of gas-sector methane emissions from now until 2025 will come from sources that already exist. In March, Obama made a joint promise with Canadian Prime Minister Justin Trudeau to implement regulations on methane at existing sources, but it’s unlikely those will be finalized before Obama leaves office. So it will be up to the next president to follow through—or not. Democrats Hillary Clinton and Bernie Sanders have promised to strengthen methane regulations. Donald Trump has been mum, but given that he thinks climate change is a hoax and wants to dismantle the “Department of Environmental,” it’s safe to say methane emission regulations will probably not rank among his top priorities.
Lock-in
Regardless of what happens with methane emissions, there’s one other reason to be concerned about Obama’s idea of a natural gas “bridge.” In particular, will a buildup of gas infrastructure force the country to keep using fossil fuels long after we need to get off them almost entirely?
As part of the international climate agreement finalized in Paris in December, Obama promised that the United States will reduce its total greenhouse gas emissions 26 to 28 percent below 2005 levels by 2025. But to stay within the Paris-mandated global warming limit—”well below” 2 degrees C (3.6 F)—emissions will have to drop much lower than that. A consortium of scientists called the US Deep Decarbonization Pathways Project has found that for the United States, the 2C target means reducing emissions 80 percent below 1990 levels by 2050, a massive, societywide shift from where we are now. Needless to say, a core aspect of the group’s recommended strategy is to reduce fossil fuel use as much as possible, as quickly as possible.
Even if we managed to eliminate methane emissions and leaks from the natural gas system, gas power plants will still emit carbon dioxide—less CO2 than coal-fired plants, but a significant amount nonetheless. And the longer we continue sinking money into new fossil fuel infrastructure, the more challenging the transition to clean energy becomes. That’s because power plants have life spans of several decades, as they slowly repay their massive upfront costs to investors. A new report from the University of California-Berkeley finds that, on average, a gas plant built today—and, remember, Obama’s Clean Power Plan hinges on the construction of more natural gas plants—will stay in operation until 2057. Each passing year in which new gas plants are built pushes that date back.
The consequence of this so-called “lock-in effect” could be that renewable energy stays shut out of the electricity mix, instead of gradually filling the gap left by the decline in coal. A 2014 market forecast study led by UC-Irvine projected that with a high supply of natural gas, renewables will produce just 26 percent of US electricity in 2050; with a lower gas supply, the share of renewables increases to 37 percent. The upshot, according to the study, is that increased reliance on gas results in very little reduction in overall greenhouse gas emissions over the next few decades. The study found a similar outcome even when the methane leakage rate was assumed to be zero.
This would create a situation in which the United States either blows past its climate targets, has to somehow forcibly shut down gas plants before their planned expiration date, or hopes that renewables will get cheap enough to out-compete gas on their own—not exactly a savory choice for politicians and investors. But the UC-Irvine study based its forecast on the assumption that existing policies would remain unchanged: no regulation of methane emissions (a situation that, as of this week, will likely change), and no new incentives at the federal, state, or local levels for renewable energy, etc. In other words, there was no exit ramp from the “bridge.” Once again, it will be up to the next president and Congress to design that exit ramp—or not.
Other benefits of coal-to-gas transition
All forms of energy production come with environmental side effects that have nothing to do with climate change. And while EPA scientists concluded last year that fracking has not led to “widespread, systemic impacts on drinking water,” individual cases of contamination continue to occur. The evidence that underground wastewater disposal from frack sites can lead to earthquakes gets stronger all the time.
Of course, anyone who has seen Appalachia’s mountaintop-removal coal mining knows that coal comes with no shortage of its own devastating impacts. Ash from coal-fired power plants, loaded with arsenic and other toxic substances, causes a wide array of severe or fatal illnesses. Coal mining remains an extremely dangerous profession. And burning coal is incredibly hazardous to nearby communities. A 2010 study by California’s Clean Air Task Force directly blamed coal-fired power plants for 13,200 deaths, 9,700 hospitalizations, and 20,000 heart attacks in the United States in that year alone. Flaming tap water near frack sites notwithstanding, the public health impacts of coal consumption are clearly far worse than those caused by gas.
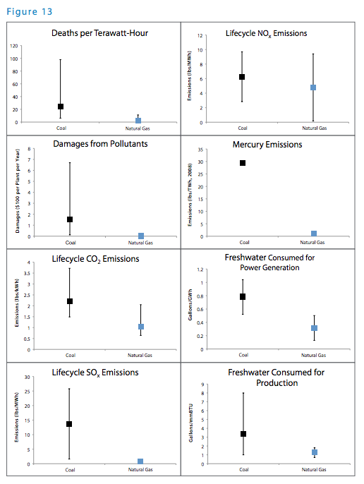
A 2013 report by the Breakthrough Institute does a nice job comparing coal and gas on a variety of nonclimate metrics:
Even if you think natural gas might be a foolish choice when it comes to greenhouse emissions, the picture changes considerably when you look at the full public health impacts of coal production. In a 2015 study, Duke’s Shindell used an economic analysis to put a dollar value on the cumulative impacts—climate, health, etc.—of coal and gas. He found that the cost to society of burning coal was 14 to 34 cents per kilowatt-hour; for gas it was 4 to 18 cents.
How does this all add up? For people who live near fossil fuel extraction sites or the power plants where fossil fuels are burned, the answer is pretty obvious: From a public health perspective, Obama’s gas “bridge” benefits coal-impacted communities at the expense of fracking-impacted communities. But from a local employment perspective, the opposite is true. From a climate perspective, a rapid transition off coal has clear long-term benefits, even if there are short-term impacts from methane. Greenhouse gas emissions from gas are probably much easier to mitigate than emissions from coal, meaning that the kinds of regulations already being drafted by EPA could go a long way toward improving gas’ stature as a climate solution.
So, is fracking really worse than coal? That claim seems highly dubious, given the myriad significant benefits of reducing coal consumption and lowering CO2 emissions. But at least from the climate change perspective, if natural gas is the end of the road, the transition may be a wash: Ultimately, the only thing that really matters is getting as much renewable energy as possible as quickly as possible. So the “bridge” only makes sense if we have a way to get off it—and so far, that road map is unclear. The debate between fracking and coal too often misses the forest for the trees, according to Shindell. “We really have to target both,” he said. “If we start trading one against the other, we don’t really get anywhere.”
Kuylenstierna agreed: “The only way you get anywhere near 1.5 degrees C is by doing everything.”












